Nhân chuẩn bị đến Ngày Thương binh Liệt sĩ 27/7 và Nhân ngày Giỗ chung của các Anh hùng Liệt sĩ bảo vệ Biên giới phía Bắc tại Vị Xuyên Hà Giang 12/7/ tại chiến dịch MB84 ngày 12/7/1984, Nhóm Biên tập Google.tienlang mong có nén nhang thơm tưởng nhớ các anh bằng việc Công bố Danh sách TOÀN BỘ 1355 LIỆT SỸ CÓ TÊN, BIA MỘ TẠI NGHĨA TRANG VỊ XUYÊN, TỈNH HÀ GIANG. Nguồn từ Nghĩa trang Liệt sĩ Vị Xuyên, tỉnh Hà giang.
Dưới đây là
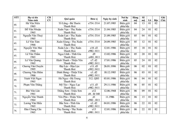
Danh sách TOÀN BỘ 1355 LIỆT SỸ CÓ TÊN, BIA MỘ TẠI NGHĨA TRANG VỊ XUYÊN, TỈNH HÀ GIANG
Danh sách TOÀN BỘ 1355 LIỆT SỸ CÓ TÊN, BIA MỘ TẠI NGHĨA TRANG VỊ XUYÊN, TỈNH HÀ GIANG
Từ 1 đến 104
















































































































Có bản danh sách này thì việc tìm kiếm thân nhân các liệt sĩ sẽ được dễ dàng phần nào. Cầu mong cho các anh siêu thoát. Và cầu cho những gia đình còn thất lạc mộ phần người thân sẽ có thể tìm thấy những thông tin quý giá qua bản danh sách này.
Trả lờiXóaHoan nghênh các bạn Tiên Lãng đã biết phục thiện. Nhớ năm trước các bạn đã có hành động nông nổi mang cờ Đảng và nhảy múa điên cuồng để phá hoại buổi lễ tưởng niệm các Liệt sỹ ở tượng đài Lý thái tổ thật đáng hổ thẹn. Năm nay các bạn biết sửa lỗi bằng việc làm rất có ý nghĩa này để lấy công chuộc tội là rất đáng khen.
Trả lờiXóaAnh Rận nặc bậy bạ gì thế?
XóaKhông phải chỗ cho mấy anh rận vào đây nói bậy bạ nhé!
Xóa1356 ở Vị xuyên. Con số ấy có gì là bao. Chỗ bạn bè với nhau cả. Bác nào đó gọi TQ là "rợ" là quá đáng và xúc phạm.
Trả lờiXóaKhông phải chỗ cho mấy anh rận vào đây nói bậy bạ nhé!
XóaCùng một con số với người có lương tri thì sẽ thấy trân trọng. Với kẻ ngu muội thì chỉ thấy nó là một con số. Lũ các người nên lấy hổ thẹn vì đã được sống đến ngày hôm nay đi.
XóaGiá như tất cả các nghĩa trang trên toàn quốc cũng học tập cách làm của Google.tienlang như thế này thì hay biết mấy!
Trả lờiXóaChúc mừng Google.tienlang đã đón 2,000,628 lượt khách ghé thăm! Vượt con số 2 triệu vào hôm nay, 20/7/2015!
Trả lờiXóaTại sao các bạn chủ trang không đăng bảng xếp hạng web mà bác Trường Sơn đã thống kê giúp nhỉ?
Tổng số lượt xem trang
XóaSparkline 2,001,201
Nhanh quá!
XóaHơn 2 giờ mà đã tăng thêm hơn 600
Tổng số lượt xem trang
XóaSparkline 2,003,504
Tổng số lượt xem trang
XóaSparkline 2,006,216